目的:明确中国北方地区秸秆覆盖和地膜覆盖技术对小麦生产的影响,探索两种覆盖体系的适宜推广区域。
方法:近 40 年,165 篇文献,荟萃分析(Meta-analysis),整体采用随机效应模型,重点揭示覆盖增产效应对不同环境条件(海拔、降水量、气温、日照)及田间管理措施(覆盖周期、种植密度、耕作、施肥)的响应规律。
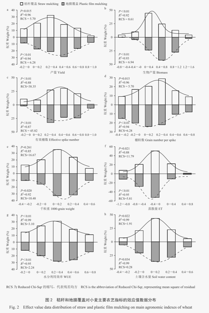
结果:
- 秸秆和地膜覆盖分别使小麦产量显著提高了 19.53%(95%CI = 0.55%—38.52%)和 24.91%(95%CI = 3.18%—46.64%)
- 不同覆盖方式,产量构成因素对增产的贡献率存在差异:
- 有效穗数>穗粒数>千粒重(秸秆覆盖)
- 有效穗数>千粒重>穗粒数(地膜覆盖)
- 覆膜的生物量和水分利用效率同样比覆秸秆高出 18.17%和 14.39%。
- 随着地势的下降,覆膜的增产效应相对于非覆盖呈现出增长趋势
- 塑料薄膜相对于秸秆的增产优势会随着覆盖年限的增加而逐渐缩小,在超过 8 年 的试验中,覆盖秸秆的整体增产率反而更高。
- 秸秆覆盖产量还受到施肥和耕作措施的影响
- 影响两种覆盖体系中土壤含水量的首要因子分别为蒸散量(r = -0.859)以及水分利用效率(r = 0.856)
图表:






参考文章
秦羽青, 程宏波, 柴雨葳, 马建涛, 李瑞, 李亚伟, 常磊, 柴守玺, 2022. 中国北方地区小麦覆盖栽培增产效应的荟萃(Meta)分析. 中国农业科学 55, 1095–1109.